An alternative to Pretraining on field simulations is to take the measured data, fit a preisach model as best as possible and subtract the preisach predictions from that of the Calibration function, and then only model the residual of that. Since the preisach predictions are the magnetic fields with the Calibration function already subtracted, this would effectively allow modeling of the residual of the residual.


Previous studies have shown that subtracting the nonlinearities using a double-sided calibration function (kind of like an envelope) is difficult due to the residuals in the areas where we switch sides (i.e. large “jumps” in the time series). For this purpose, a preisach model might be more elegant to use the preisach model.
Evaluating the model on drift-corrected v6 dataset shows

or the residual only
Overlay all SFTPRO1 cycles to in the dataset to try and see the hysteresis, we see the following
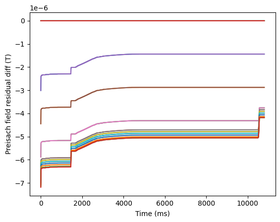
And if we take the difference w.r.t. the first prediction we see the following
Where clearly the difference cycle-to-cycle is less than , converging to 7e-6 diff (likely as neurons stabilize).

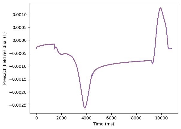
Plotting the between measured and preisach simulated field residuals we see a clear reduction in prediction range, from originally with SPS MBI calibration function, to , but significantly improved resolution on the flat top hysteresis, as well as flat bottom.
Further tuning of the preisach model to better fit our hysteresis loops / nonlinearities are required.