Meeting overview
Flatley model integration accuracy, try different timesteps to see if it drifts more or less. Could be a numerical error.
Also for ODE natural drift comes from the locality property that Preisach implements. The ODE only knows of the present, not the far past.
time constant follows inductance of the magnetic circuit. The time constant changes depending on the field strength.
First approximation of .
proportional to mutual inductance between eddy currents and inductance of main circuit
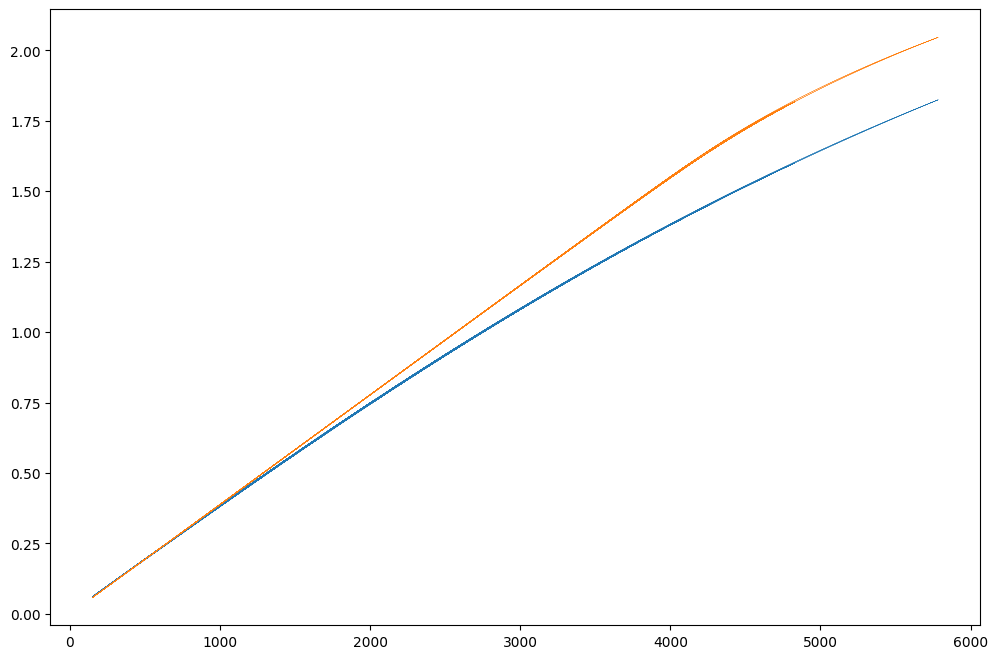
The flatley model as current does not provide satisfactory I/B curve, since the magnetization curves follow a curve, inherent to the design of the differential equation, which lacks the initial linear magnetization for the SPS magnets
The orange curve denotes the SPS main dipole magnetic response, and the blue the output from the flatley model for the same current waveform.

The above hysteresis curve shows the measured I/B residual, and the egg-shaped hysteresis curve below shows the flatley model simulated I/B residual.
The egg shape stems mainly from eddy currents, as the eddy current effects are at least one order of magnitude larger than hysteresis effects. For magnets, the eddy current decay constant depends on the magnetization of the magnet, or the excitation current, and could potentially be twice as large on flat top than at flat bottom. I.e. eddy current decays on flat top are significantly slower than at flat bottom, which causes this mushroom-like effect rather than the egg shape below.
Outcome
We will use the flatley model to simulate waveforms for measurements.
Action
-
Investigate different timesteps during trapezoidal integration to see impact of integration drift. [priority:: low] [ [completion:: 2024-06-14] [x] Investigate the impact of non-local ODE effects for drift [priority:: low] [completion:: 2024-06-14]
Does not seem problematic for our purposes, and the implementation of the Jiles-Atherton model for hysteresis.