An issue with the field predictions from the TFT when calculating the to trim as and , is that the field predictions are not perfectly smooth. For the MBIs, the field is predicted at 50 Hz, but pointwise differences are common, and results in a noisy that is sent to LSA.

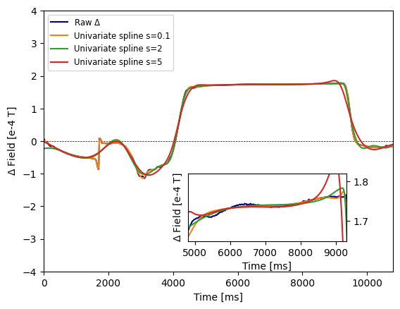
Zooming in on the flat top we see

Where the is jagged.
For smoothing the delta, we divide by its standard deviation to normalize it, and then apply different smoothing algorithms.
Univariate splines

We can fit smoothing splines with different s values. For larger s-values we see large overshoots at sharp areas (especially at the flat top here), which is undesirable. This is seen even for small s-valeus like 0.1, even though it follows well elsewhere.