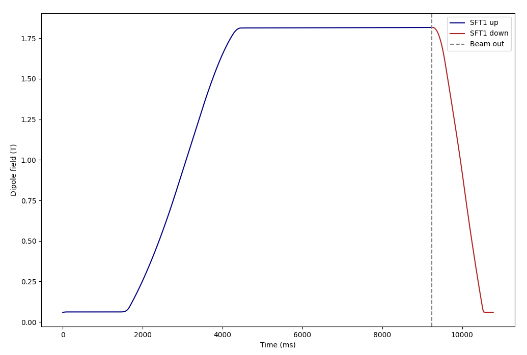
Instead of using the predicted field in Cycle prediction directly, we can divide the prediction into ramp-up field response, and ramp-down, assuming that there are no dynamic effects present in the field measurements (i.e. we need to subtract eddy current decay from the field response).
The inflection point of the field response is easy to find - it is always at beam out. Any field after beam out is ramping down.
Here we don’t see much, but subtracting the default calibration function we see easily

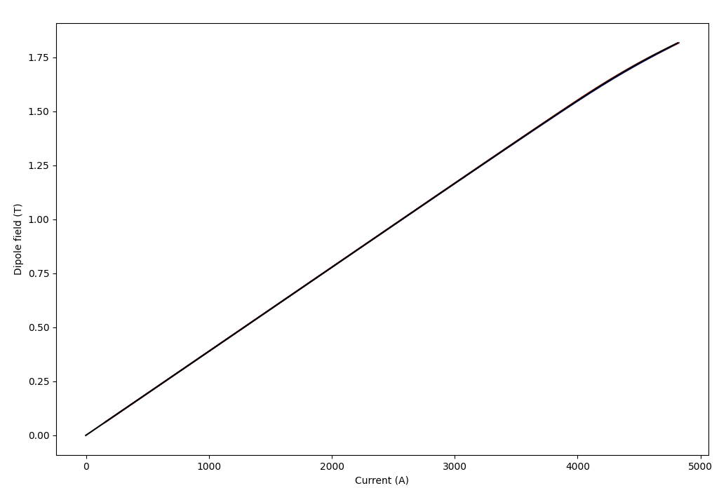
Applying the technique to prediction and interpolating the programmed current to the fitted calibration function we see

We see a predicted field which follows the current much better. Although we see a mismatch in field much higher than previous (4 Gauss instead of 3 Gauss).