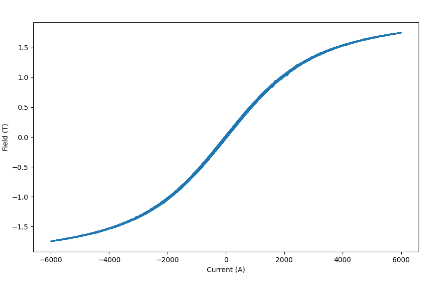
Third stage of Curriculum Learning where the model learns time-lag effects in magnetic response.
Time Lag Implementation
A lag of 3 ms is added to the M_sim_A_m data in the M_sim_lag_A_m column, with zero-padding in the first 5 samples (at 1 kHz).


Related Concepts
- Curriculum Learning Stage 2 - Previous nonlinear stage
- Curriculum Learning Stage 4 - Next stage with weak hysteresis
- Time Series Lag Effects - Temporal dynamics in magnetic systems