First stage of Curriculum Learning where the model learns linear relationships before progressing to more complex hysteresis behavior.
Data Generation
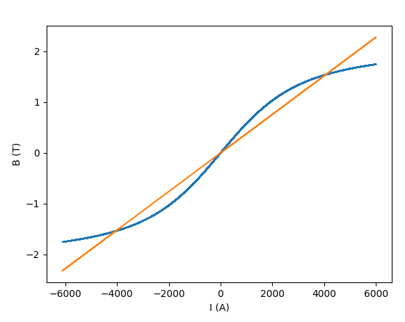
Generate data with random stepwise (trapezoidal waveforms) with current I ∈ (-6000, 6000) A, with a small possibility to stay in the same sign, with a plateau length of 0.1s and ramp rate of 8000 A/s.
Linear Response
Produce a linear response B = 3.8e-4 × I that we try to learn with a TSMixer.
Data Location
Data saved in cernbox/hysteresis/dipole/notebooks/curriculum-learning/curriculum_0/, with columns:
H_sim_A_mfor the excitation currentM_sim_linear_A_mfor the linear response


Related Concepts
- Curriculum Learning - Overall training strategy
- Curriculum Learning Stage 2 - Next stage with nonlinear response
- TSMixer - Model architecture used for learning